Cải thiện đáng kể cơ tính của các vật liệu từ siêu mềm nano tinh thể
Ai cũng biết các vật liệu từ siêu mềm nano tinh thể nền sắt có tính từ mềm tuyệt vời nhất hiện nay tuy nhiên một điều hiển nhiên là sau khi xử lý nhiệt để đạt trạng thái nano tinh thể hợp kim thường bị giòn.
![]() |
Các ứng dụng của vật liệu từ siêu mềm nanotinh thể |
Các hợp kim từ mềm nano tinh thể (ví dụ như Finemet FeSiBNbCu, Nanoperm FeCoZrB...) là những vật liệu từ mềm tốt nhất hiện nay thường được chế tạo bằng kỹ thuật nguội nhanh để tạo ra các băng hợp kim có cấu trúc vô định hình, sau đó ủ nhiệt ở nhiệt độ kết tinh để hình thành các hạt tinh thể ở kích thước nanomet. Kết quả là ta thu được một cấu trúc nano gồm các hạt tinh thể (pha từ giàu sắt) được nhúng trong ma trận vô định hình dư.
Tính chất từ mềm đạt được là do 2 yếu tố: Cấu trúc hạt nano tinh thể siêu mịn (hạt chỉ có kích thước 10 nm) và sự tổ hợp tính chất của 2 pha: hạt tinh thể nano và các ma trận vô định hình còn dư. Vật liệu từ mềm nano tinh thể (hay còn gọi là vật liệu từ tổ hợp nano - nanocomposite magnetic materials) có tính từ mềm tuyệt vời: có lực kháng từ cực nhỏ, độ từ thẩm cao, cảm ứng từ lớn, có khả năng dùng ở tần số cao... Một số vật liệu ở dạng thương phẩm có các tên như Finemet (FeSiBNbCu), Nanoperm (FeZrBCu), Hitperm (FeCoZrBCu)... đều là các hợp kim trên nền sắt (Fe). Khi ở trạng thái các băng từ vô định hình thì chúng có đặc tính dẻo dai rất tốt, nhưng đa số chúng trở nên cứng và giòn sau khi xử lý nhiệt, đây là một điểm kém của loại vật liệu này.

Hình 1. Các đứt gãy bề mặt ở các mẫu khác nhau quan sát bằng kính hiển vi điện tử quét
(Theo Appl. Phys. Lett. 90 (2007) 212508).
Matthew Wilard và các cộng sự đã chỉ ra rằng sử dụng các hợp kim này với nền vật liệu là côban (Co) sẽ cho vật liệu với độ dẻo dai gấp 2 lần so với các hợp kim nền sắt như Finemet, Nanoperm... mà vẫn giữ được đặc tính từ mềm tuyệt vời. Ví dụ như vật liệu sau khi ủ ở 550oC sẽ có từ độ bão hòa 131 Am2/kg, có lực kháng từ cực nhỏ tới 8 A/m. Nhóm của Phòng thí nghiệm Nghiên cứu Hải quân đã phát hiện được rằng các hợp kim này có độ ổn định nhiệt rất cao, có tổn hao trễ thấp ở nhiệt độ lên tới 300oC, có nghĩa là chúng rất thích hợp cho các ứng dụng nhiệt độ cao.

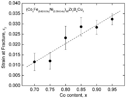
Hình 2. Ứng suất tại bề mặt phụ thuộc vào hàm lượng côban
(Theo Appl. Phys. Lett. 90 (2007) 212508).
Nhóm nghiên cứu thu được kết quả nghiên cứu bằng các thực hiện các kiểm tra bẻ gãy và biến dạng trên các mẫu để xác định ứng suất đứt gãy và các giới hạn bền trong hệ 6 thành phần giàu côban (Co).Các mẫu đều có đặc tính dẻo dai gấp ba lần so với thành phần thương phẩm và tăng theo hàm lượng Co.
Wilard nói rằng các hợp kim giàu Co rất thích hợp cho việc sử dụng làm các lõi dẫn từ, lõi cuộn cảm, cho các hệ điện tử công suất lớn và tần số cao, ví dụ như lõi biến thế, cuộn chặn, roto động cơ, thậm chí sử dụng ở các môi trường nhiệt độ cao. Nhóm cũng đang tiến hành các thử nghiệm với các hợp phần khác nhau để hiểu cơ chế cải thiện đặc tính cơ học nhằm thu được các kết quả hoàn thiện hơn trong tương lai. (xem thêm chi tiết các kết quả này trên Appl. Phys. Lett. 90 (2007) 212508).

Hình 3. Sự suy giảm từ tính theo nhiệt độ và đường cong từ trễ
(Theo Appl. Phys. Lett. 90 (2007) 212508).
Vạn lý Độc hành
Theo NanotechWeb.org & Applied Physics Letters, Vật lý Việt Nam
10 phát minh "cực cool" bị lãng quên của các nhà khoa học lừng danh
Búp bê biết nói, máy dò kim loại, vây bơi bằng gỗ... là những phát minh có vẻ kỳ lạ của những nhà khoa học đại tài.
23 phát minh "tình cờ và bất ngờ" nhưng đã thay đổi cả thế giới
Những "huyền thoại" sau đây chắc chắn sẽ khiến bạn cảm thấy vừa quen thuộc lại vừa... lạ lẫm vì không ngờ chúng lại được tạo ra trong những hoàn cảnh có một không hai như vậy
20 phát minh nổi tiếng của Trung Hoa cổ đại
La bàn đầu tiên được gọi là "kim chỉ Nam" do người Trung Hoa phát minh rất sớm, ngay khi người ta tìm ra được từ lực và đá nam châm. Người Trung quốc xem hướng Nam là hướng của vua chúa nên dùng chữ "chỉ Nam" chớ không dùng chữ chỉ Bắc.
Hệ thống xe lửa và lịch sử phát triển
Hệ thống xe lửa là một phương tiện vận chuyển rất nhanh chóng, không gây ô nhiễm cho môi trường sống, rất an toàn, không những dùng cho hành khách mà còn dùng cho các vật liệu nguy hiểm như các chất nổ, các loại khí n&
12 phát minh "không tưởng" của Nikola Tesla
"Bác học điên" Nikola Tesla đã có những ý tưởng khó tin về khoa học như: điều khiển thời tiết, khai thác năng lượng vũ trụ, điện không dây...
Sự ra đời và phát triển của ô tô
Ô tô, trước hết là một vấn đề về động cơ. Vì cái xe chở đồ do Nicolas Joseph Cugnot sáng chế năm 1770 đáp ứng đúng nghĩa, theo nguyên nghĩa của từ automobile (xe chạy tự động), tức là ô tô, nhưng có lẽ vô ích ghi vào danh mục vô vàn cái xe chạ



